Un Oscilador es un sistema capaz de convertir energía no oscilante en energía oscilante, creando una señal repetitiva en el tiempo, como una onda senoidal, cuadrada o triangular. Entre los tipos de osciladores, estudiamos el oscilador LC que utiliza un circuito tanque compuesto por un inductor (L) y un condensador (C) para generar oscilaciones. Este circuito proporciona la retroalimentación positiva necesaria para mantener la señal, ya que la energía se transfiere continuamente entre en campo eléctrico del condensador y el campo magnético del conductor.
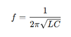
Cuando el condensador se carga y descarga a través de inductor, se produce un intercambio de energía de energía que da lugar a una oscilación natural cuya frecuencia viene dada por:

Para que el oscilador LC funcione de manera estable, se requiere un amplificador o dispositivo activo(como un transistor o un amplificador operacional) que compense las perdidas resistivas del circuito y mantenga la amplitud constante.