Docencia 2: Describe el estado del arte de las tecnologías y tipos de aprovechamiento eólico
Nombre: Justin González Lema.
Fecha: 22/10/2025
Asignatura: Energías Alternativas.
Docente: Ing. Sebastián Guamán.
La energía eólica es una fuente renovable que ha crecido rápidamente en América Latina gracias a los avances tecnológicos en aerogeneradores y al apoyo de políticas públicas. Existen dos tipos principales de aprovechamiento: los parques eólicos de gran escala, que abastecen redes eléctricas nacionales, y la microeólica, utilizada en zonas rurales para electrificación y bombeo de agua. [1]
En Ecuador, el Parque Eólico Villonaco es un ejemplo destacado de generación limpia y diversificación energética. La región enfrenta retos como la integración a la red y el impacto ambiental, pero la tendencia es positiva por la reducción de costos y el potencial de expansión. [2]

Parque Eólico Villonaco (Ecuador)
Ubicación: Loja, Ecuador
Cantidad de aerogeneradores: 11 unidades
Potencia total instalada: 16.5 MW
Potencia por aerogenerador: 1.5 MW
Voltaje de salida: 34.5 kV (subestación de elevación), luego se eleva a 69 kV para conexión a la red nacional.
Producción anual de energía: 71.94 GWh/año.
Velocidad promedio del viento: 12.4 m/s
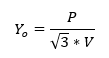
Corriente nominal aproximada por aerogenerador:
Para calcular la corriente, se usa la fórmula:
[1] R. M. Zepeda Cancino y V. Vázquez García, «Potencial social y ambiental de la industria eólica para una transición energética en América Latina», Let. Verdes Rev. Latinoam. Estud. Socioambientales, n.o 30, pp. 66-85, sep. 2021, doi: 10.17141/letrasverdes.30.2021.4598.
[2] G. Mendoza, D. Marcelo, M. Correa, y J. Luis, «Analisis de la produccion de Energia de la Central Eólica Villonaco.».