PASOS PARA ELABORAR EL CAMBIO DE BASE EN SISTEMAS POR UNIDAD
El sistema por unidad (p.u.) es una herramienta fundamental en el análisis de los sistemas eléctricos de potencia, ya que permite simplificar los cálculos al expresar las magnitudes eléctricas (como tensiones, corrientes, potencias e impedancias) en valores relativos respecto a una base elegida. Este método facilita la comparación entre diferentes niveles de tensión y equipos, además de minimizar errores en la resolución de circuitos complejos [1],[2].
Para elaborar un cambio de base en un sistema por unidad, debes seguir una serie de pasos que implican el cálculo de nuevos valores de impedancia para cada componente del sistema. El objetivo es establecer una base de potencia común para todo el sistema, lo que simplifica los cálculos en redes eléctricas complejas [3].
Fórmula clave
La conversión se realiza a través de la siguiente fórmula general para la impedancia en la nueva base [1]:

Donde:
- 𝑍𝑝𝑢(𝑛𝑢𝑒𝑣𝑎) es la impedancia en la nueva base por unidad.
- 𝑍𝑝𝑢(𝑎𝑛𝑡𝑖𝑔𝑢𝑎) es la impedancia en la base por unidad original.
- 𝑉𝑏𝑎𝑠𝑒(𝑎𝑛𝑡𝑖𝑔𝑢𝑎) y 𝑉𝑏𝑎𝑠𝑒(𝑛𝑢𝑒𝑣𝑎) son los voltajes base antiguo y nuevo, respectivamente.
- 𝑆𝑏𝑎𝑠𝑒(𝑎𝑛𝑡𝑖𝑔𝑢𝑎) Y 𝑆𝑏𝑎𝑠𝑒(𝑛𝑢𝑒𝑣𝑎) son las potencias base antigua y nueva, respectivamente.
Pasos para realizar un cambio de base
- Dividir el sistema en zonas de voltaje: Identifica las diferentes zonas de voltaje que están separadas por transformadores. Cada zona tendrá su propio voltaje base, determinado por la relación de transformación [2].
- Elegir una potencia base común (𝑆𝑏𝑎𝑠𝑒(𝑛𝑢𝑒𝑣𝑎)): Selecciona una potencia base única para todo el sistema. Generalmente, se escoge un valor redondo, como 100 MVA, aunque cualquier valor es válido [3].
- Seleccionar un voltaje base en una zona (𝑉𝑏𝑎𝑠𝑒(𝑛𝑢𝑒𝑣𝑎)): Elige un voltaje base para la primera zona, que suele ser la del generador. Este valor servirá de referencia para calcular los voltajes base en las demás zonas.
- Calcular los voltajes base en las otras zonas: Utiliza la relación de transformación de los transformadores para determinar los nuevos voltajes base en el resto de las zonas de voltaje del sistema.
Fórmula:

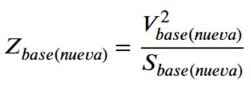
- Calcular la nueva impedancia base (Zbase(nueva)) para cada zona: Antes de convertir las impedancias, calcula el valor de la impedancia base en cada zona con los nuevos valores de potencia y voltaje base.
Fórmula:

- Convertir los valores por unidad a la nueva base: Aplica la fórmula general del cambio de base para cada impedancia (𝑍, 𝑋 O 𝑅) que necesites convertir. Asegúrate de usar los valores de Sbase y Vbase correspondientes a cada zona [1].

- Dibujar el diagrama de reactancias en la nueva base: Una vez que todos los componentes (generadores, transformadores y líneas) están en la misma base, puedes dibujar el diagrama de impedancia en por unidad para analizar el sistema de potencia [4].

REFERENCIAS
[1] J. D. Glover, T. Overbye, and M. S. Sarma, Power System Analysis and Design, 7th ed. Boston, MA: Cengage Learning, 2022.
[2] A. R. Bergen and V. Vittal, Power Systems Analysis, 2nd ed. Upper Saddle River, NJ: Prentice Hall, 2000.
[3] P. Kundur, Power System Stability and Control, New York, NY: McGraw-Hill, 1994.
[4] R. C. Dugan, M. F. McGranaghan, S. Santoso, and H. W. Beaty, Electrical Power Systems Quality, 3rd ed. New York, NY: McGraw-Hill, 2012.