Nombres: Mateo Bohórquez, Gabriel Crespo
INTRODUCCIÓN
El sistema por unidad es una técnica ampliamente usada en el análisis de sistemas eléctricos de potencia para normalizar las magnitudes como tensiones, corrientes, impedancias y potencias respecto de ciertos valores base, de modo que los cálculos se simplifican. [1]
Por ejemplo, se define:

Esto permite que diferentes equipos y niveles de tensión se puedan comparar directamente y que se minimicen los errores al referir impedancias a distintos lados de transformadores. En particular, cuando los equipos están dados en una base distinta a la que se está usando para el sistema general, es necesario efectuar un cambio de base, para uniformizar todas las magnitudes al mismo sistema de referencia. [1]
DESARROLLO
Primer paso: Identificar los datos conocidos
Primero, se debe conocer:
La base antigua (base1):
- - Potencia base S (base1)
- - Tensión base V (base1)
La base nueva (base2):
- - Potencia base S (base2)
- - Tensión base V (base2)
- - El valor por unidad en la base antigua Z (P.U1) o el valor real de impedancia Z (real)
Segundo paso: Recordar la relación fundamental
La impedancia base se define como:

y el valor por unidad se calcula como:

Tercer paso: Obtener la relación de cambio de base
Si ya se tiene el valor en por unidad en una base anterior Z (p.u1) el cambio de base se realiza con la siguiente ecuación:

Donde:
- Z (pu2)= Impedancia en la nueva base.
- Z (pu1)= Impedancia en la base antigua
- S (base1), S (base2) = Potencias base
- V (base1), V (base2) = Tensiones base
Cuarto paso: Aplicar la fórmula
Sustituir los valores conocidos en la fórmula anterior para obtener la nueva impedancia por unidad o el nuevo valor base deseado.
Quinto paso: Verificar la coherencia de tensiones
Si el cambio de base se hace a través de un transformador, se debe usar las tensiones base del mismo nivel de voltaje (primario o secundario), ya que estas cambian según la relación de transformación.
Sexto paso: Comprobar el resultado
Verificar que el resultado no sea un valor negativo o fuera de rango (0-1 PU)
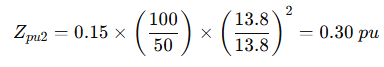
Ejemplo rápido
- Z (p.u1) = 0.15
- S (base1) = 50 MVA
- S (base2) = 100 MVA
- V (base1) = V (base2) = 13.8 kV
Entonces:

CONCLUSIÓN
El procedimiento de cambio de base en sistemas por unidad es una herramienta clave para el análisis consistente de sistemas eléctricos de potencia, especialmente cuando se trabaja con múltiples niveles de tensión, múltiples equipos con diferentes bases de placa, o redes complejas que requieren coherencia en las bases de referencia.
Seleccionar una base común de potencia y tensión para todo el sistema, convertir todos los equipos a dicha base mediante la fórmula de cambio de base, y luego proceder al análisis en pu, permite simplificar mucho los cálculos, detectar errores de escala, y facilitar la comparación entre diferentes componentes del sistema.
REFERENCIA
[1] F. González-Longatt, “Sistema por Unidad (p.u.)”, Universidad Simón Bolívar, Venezuela, 2008.