CAMBIO DE BASE EN SISTEMAS POR UNIDAD (PU)
El método por unidad (p.u.) es una herramienta fundamental en el análisis de Sistemas Eléctricos de Potencia (SEP) que simplifica los cálculos al normalizar los valores eléctricos a una base común. El cambio de base es una operación crucial que permite trasladar estos valores p.u. de un conjunto de bases a otro, especialmente útil cuando hay transformadores de por medio o se requiere unificar las bases de todo el sistema. [1]
Conceptos
- Sistema por unidad (p.u.): Expresar cualquier magnitud eléctrica (voltaje, corriente, potencia, impedancia, etc.) como una fracción o porcentaje de un valor base elegido arbitrariamente. [2]

- Valores base: Los valores base, que son la potencia aparente (S_base) y el voltaje de línea (V_base), se eligen para cada zona del sistema eléctrico.
La potencia base (S_base) es la misma para todo el sistema, independientemente de los transformadores.
El voltaje base (V_base) cambia en cada zona del sistema, según la relación de transformación de los transformadores.

Cálculo de la impedancia base: La impedancia base (Z_base) se deriva de la potencia base y el voltaje base de una zona determinada.

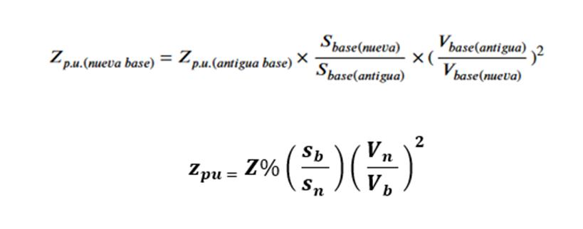
Cambio de base: La fórmula para convertir un valor de impedancia por unidad de una base a otra es:

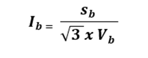
Corriente base para sistemas trifásicos es:

Pasos para realizar un cambio de base.
Ejemplo:
1. Dibujar el diagrama unifilar del SEP y dividirlo en zonas, separadas por los transformadores y adoptar dos magnitudes base, que suelen ser Potencia y Voltaje.

2. Seleccionar una potencia base común (S_base(nueva)) para todo el sistema.

3. Seleccionar un voltaje base (V_base(nueva)) para una de las zonas de sistema, generalmente la del generador.

4. Determinar los demás valores base del sistema por cada zona (Vbase, Ibase, Zbase).

5. Se pasa el sistema a valores en por unidad utilizando la fórmula de cambio de base.

6. Diagrama de reactancias.

Bibliografía
[1] «Sistema Por Unidad». Accedido: 3 de noviembre de 2025. [En línea]. Disponible en: https://fglongatt.org/OLD/Archivos/Archivos/SP_I/Capitulo3SP1-2007.pdf
[2] «Sistemas por Unidad». Accedido: 3 de noviembre de 2025. [En línea]. Disponible en: https://catedras.facet.unt.edu.ar/sep/wp-content/uploads/sites/20/2015/03/SEP-Sistemas-por-Unidad.pdf
[3] Roman Eduardo Brito Galeana, «Cambio de Base en Por Unidad | PDF | Transformador | Fuerza», Cambio de Base en por Unidad. Accedido: 3 de noviembre de 2025. [En línea]. Disponible en: https://es.scribd.com/presentation/373751386/Cambio-de-Base-en-Por-Unidad
[4] «Sistemas por Unidad». Accedido: 3 de noviembre de 2025. [En línea]. Disponible en: https://catedras.facet.unt.edu.ar/sep/wp-content/uploads/sites/20/2015/03/SEP-Sistemas-por-Unidad.pdf